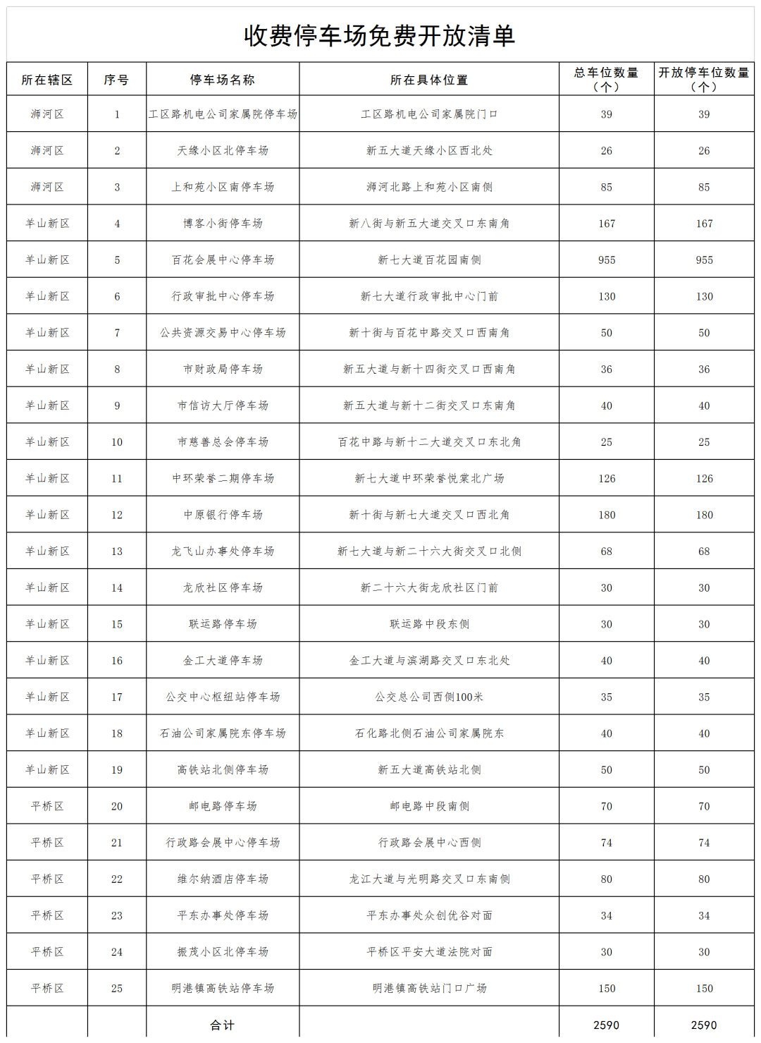
2026年春节将至,为更好满足返乡群众及广大市民的停车需求,提供优质、便捷、高效的停车服务保障,信阳市城管局统筹协调中心城区停车资源,推出61 个停车场、4318 个停车位春节期间免费停车服务。其中,36 家机关事业单位内部停车场开放 1728 个停车泊位,25 处收费停车场开放 2590 个停车泊位,春节期间市民群众可免费停放。


注意事项:
1.免费开放的停车场仅限停放7座及以下小型非营运载客汽车。
2.车主请自觉遵守规定,主动登记车辆信息,维护好停车秩序,做到文明停车、规范停车。
3.免费开放的停车场仅提供停车泊位使用服务,不承担车辆及财物安全责任。
4.严禁装载易燃、易爆、有毒等危险物品的车辆进入停车场。
5.如遇特殊情况需临时关闭,管理单位将提前告知。
来源:美丽申城




